科研进展
南极半岛上层海水变暖导致冰川运动加速研究获新进展
冰—气—海耦合过程是当前极地冰冻圈研究中极具挑战性的科学问题之一。全球气候变暖背景下,近几十年来南极冰盖物质损失呈加剧趋势,主要表现为入海冰川(潮汐冰川)的动力失衡与异常流动。然而,目前学界针对海洋过程对入海冰川的调控机制、冰川自身驱动机制的认识仍存在不足。因此,系统揭示南极冰川运动演化特征及其对全球气候变暖的响应机制,对深化南极冰盖的认知具有重要科学价值。
中国科学院西北生态环境资源研究院冰冻圈科学与冻土工程全国重点实验室康世昌研究员团队,基于2015年5月至2025年4月的Sentinel-1卫星观测数据,系统分析了南极半岛Beascochea海湾101条冰川流速变化特征,重点揭示了海湾上层海水变暖对冰川流速加快的关键作用。
研究表明,十年间Beascochea海湾冰川夏季平均流速增幅达1.81 ± 0.65%,较冬季均值高出约0.88%;夏季最大增速为 6.44 ± 0.74%。自2018年起,冰川流动出现大范围加速,期间最高年增速达4.04 ± 0.50% yr⁻¹。通过多种模型分析发现,该海湾0–300 m 深度的上层海洋变暖是冰川流动增速的主导因素,持续的冰川流速加快与海洋次表层浅部热量输入密切相关,而非冰川融水作用。
研究指出,在冰川动力学稳定性下降的背景下,未来海洋热力强迫可维持长期流速加快,将加剧南极半岛冰川物质损失。
该成果以Decadal glacier flow acceleration caused by upper ocean warming in the Antarctic Peninsula为题,发表于国际期刊International Journal of Applied Earth Observation and Geoinformation上。西北研究院康育龙博士为论文第一作者,康世昌研究员为论文通讯作者。该研究获中国科学院国际合作项目和甘肃省科技计划项目资助。
论文链接:https://authors.elsevier.com/sd/article/S1569-8432(26)00184-6

南极半岛Beascochea海湾冰川流速、末端高程与海温变化示意图

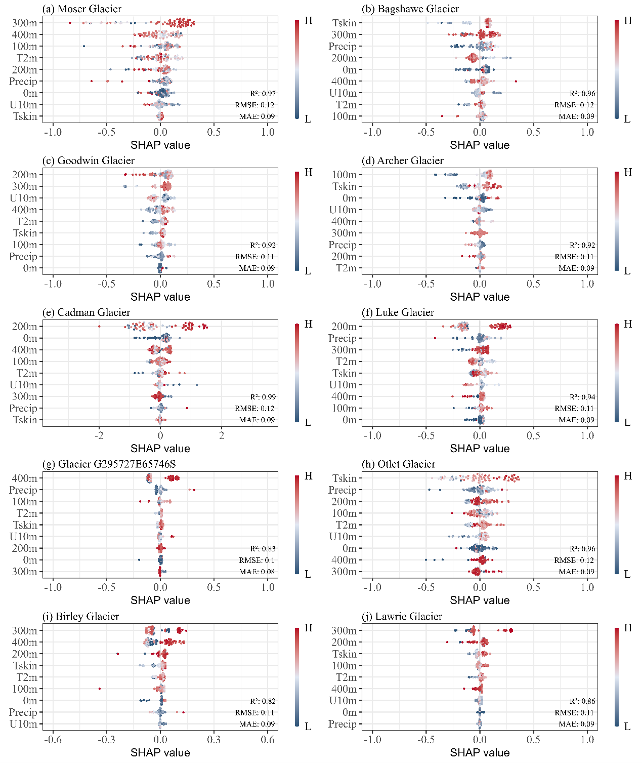
通过XGBoost 与 SHAP 模型分析不同驱动因子对冰川流速的影响。0-400 m 代表不同深度的海洋温度;Precip 表示冰川表面降水量;T2m 表示 2 米气温;U10m 表示 10 米风速;Tskin 表示冰川表面温度。

通过CCM模型分析不同深度海温对冰川流速的影响




